Conditional Diffusion Anomaly Modeling on Graphs

Chunyu Wei1     Haozhe Lin2     Yueguo Chen1     Yunhai Wang1    

1Renmin University of China     2Tsinghua University    

Accepted by Conference on Neural Information Processing Systems

Figure 1: An illustration of Generative Graph Anomaly Detection.


Abstract:

Graph anomaly detection (GAD) has become a critical research area, with successful applications in financial fraud and telecommunications. Traditional Graph Neural Networks (GNNs) face significant challenges: at the topology level, they suffer from over-smoothing that averages out anomalous signals; at the feature level, discriminative models struggle when fraudulent nodes obfuscate their features to evade detection. In this paper, we propose a Conditional Graph Anomaly Diffusion Model (CGADM) that addresses these issues through the iterative refinement and denoising reconstruction properties of diffusion models. Our approach incorporates a prior-guided diffusion process that injects a pre-trained conditional anomaly estimator into both forward and reverse diffusion chains, enabling more accurate anomaly detection. For computational efficiency on large-scale graphs, we introduce a prior confidence-aware mechanism that adaptively determines the number of reverse denoising steps based on prior confidence. Experimental results on benchmark datasets demonstrate that CGADM achieves state-of-the-art performance while maintaining significant computational advantages for large-scale graph applications.

Figures:





Figure 2: Performance w.r.t. Different Prior Models



Figure 3: Parameter Sensitivity on Different Datasets



Figure 4: Time cost and Accuracy w.r.t. Sampling Steps K



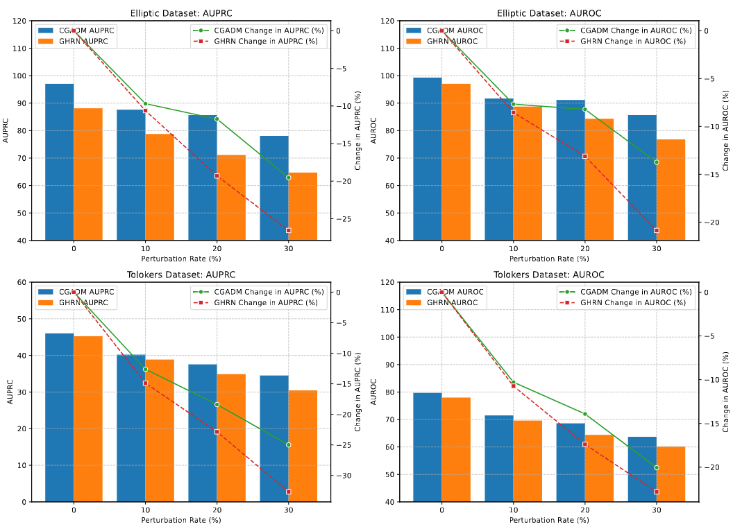
Figure 5: Robustness against Feature Manipulation



Materials:





1
Paper (644KB)

Acknowledgements:

This work is supported by the grants of the National Key R&D Program of China under Grant 2022ZD0160805, NSFC (No.62132017 and No.U2436209), the Shandong Provincial Natural Science Foundation (No.ZQ2022JQ32), the Beijing Natural Science Foundation (L247027), the Fundamental Research Funds for the Central Universities, the Research Funds of Renmin University of China, and Big Data and Responsible Artificial Intelligence for National Governance, Renmin University of China.